Assignment 2

Author

Rebecca Larsen

LAB 1

by Dr. Karl Ho

---------------

# install and load pacman for package management
if (!require("pacman", character.only = TRUE)) install.packages("pacman")
Loading required package: pacman
Warning: package 'pacman' was built under R version 4.2.3
library(pacman)
# load libraries using pacman
p_load("MASS", 
       "ISLR", 
       "car", 
       "haven", 
       "epiDisplay")

Learning Basic Commands

Create object using the assignment operator (<-, =)

x <- c(1,3,2,5)
x
[1] 1 3 2 5
x = c(1,6,2)
x
[1] 1 6 2
y = c(1,4,3)

Using Function

length(x)  # What does length() do?
[1] 3
length(y)
[1] 3

Using +, -, *, /,^ operators

x+y
[1]  2 10  5
ls() # List objects in the environment
[1] "x" "y"
rm(x,y) # Remove objects
ls()
character(0)
rm(list=ls()) # Danger! What does this do?  Not recommended!

Matrix operations

?matrix
starting httpd help server ... done
x=matrix(data=c(1,2,3,4), nrow=2, ncol=2) # Create a 2x2 matrix object
x
     [,1] [,2]
[1,]    1    3
[2,]    2    4
x=matrix(c(1,2,3,4),2,2)
matrix(c(1,2,3,4),2,2,byrow=TRUE) # What about byrow=F?
     [,1] [,2]
[1,]    1    2
[2,]    3    4
sqrt(x) # What does x look like?
         [,1]     [,2]
[1,] 1.000000 1.732051
[2,] 1.414214 2.000000
x^2
     [,1] [,2]
[1,]    1    9
[2,]    4   16
x=rnorm(50) # Generate a vector of 50 numbers using the rnorm() function

y=x+rnorm(50,mean=50,sd=.1) # What does rnorm(50,mean=50,sd=.1) generate?

cor(x,y) # Correlation of x and y
[1] 0.9949607
set.seed(1303) # Set the seed for Random Number Generator (RNG) to generate values that are reproducible.
rnorm(50)
 [1] -1.1439763145  1.3421293656  2.1853904757  0.5363925179  0.0631929665
 [6]  0.5022344825 -0.0004167247  0.5658198405 -0.5725226890 -1.1102250073
[11] -0.0486871234 -0.6956562176  0.8289174803  0.2066528551 -0.2356745091
[16] -0.5563104914 -0.3647543571  0.8623550343 -0.6307715354  0.3136021252
[21] -0.9314953177  0.8238676185  0.5233707021  0.7069214120  0.4202043256
[26] -0.2690521547 -1.5103172999 -0.6902124766 -0.1434719524 -1.0135274099
[31]  1.5732737361  0.0127465055  0.8726470499  0.4220661905 -0.0188157917
[36]  2.6157489689 -0.6931401748 -0.2663217810 -0.7206364412  1.3677342065
[41]  0.2640073322  0.6321868074 -1.3306509858  0.0268888182  1.0406363208
[46]  1.3120237985 -0.0300020767 -0.2500257125  0.0234144857  1.6598706557
set.seed(3) # Try different seeds?
y=rnorm(100)

Simple descriptive statistics

mean(y)
[1] 0.01103557
var(y)
[1] 0.7328675
sqrt(var(y))
[1] 0.8560768
sd(y)
[1] 0.8560768

Graphics Using R Graphics

x=rnorm(100)
y=rnorm(100)
plot(x,y, pch=20, col = "steelblue") # Scatterplot for two numeric variables by default

plot(x,y, pch=20, col = "darkblue",xlab="this is the x-axis",ylab="this is the y-axis",main="Plot of X vs Y") # Add labels

pdf("Figure01.pdf") # Save as pdf, add a path or it will be stored on the project directory
plot(x,y,pch=20, col="lightgreen") # Try different colors?
dev.off() # Close the file using the dev.off function
png 
  2 
x=seq(1,10) # Same as x=c(1:10)
x
 [1]  1  2  3  4  5  6  7  8  9 10
x=1:10
x
 [1]  1  2  3  4  5  6  7  8  9 10
x=seq(-pi,pi,length=50)
y=x

-----------

LAB 2

by Dr. Karl Ho

R Programming Basic Commands

Indexing Data using []

A=matrix(1:16,4,4)
A
     [,1] [,2] [,3] [,4]
[1,]    1    5    9   13
[2,]    2    6   10   14
[3,]    3    7   11   15
[4,]    4    8   12   16
A[2,3]
[1] 10
A[c(1,3),c(2,4)]
     [,1] [,2]
[1,]    5   13
[2,]    7   15
A[1:3,2:4]
     [,1] [,2] [,3]
[1,]    5    9   13
[2,]    6   10   14
[3,]    7   11   15
A[1:2,]
     [,1] [,2] [,3] [,4]
[1,]    1    5    9   13
[2,]    2    6   10   14
A[,1:2]
     [,1] [,2]
[1,]    1    5
[2,]    2    6
[3,]    3    7
[4,]    4    8
A[1,]
[1]  1  5  9 13
A[-c(1,3),]
     [,1] [,2] [,3] [,4]
[1,]    2    6   10   14
[2,]    4    8   12   16
A[-c(1,3),-c(1,3,4)]
[1] 6 8
dim(A)
[1] 4 4

Loading data from Github

Auto=read.table("https://raw.githubusercontent.com/karlho/knowledgemining/gh-pages/data/Auto.data")
# fix(Auto) # Starting the X11 R data editor
#If you run fix it allows you to interactively edit data. You can edit the data from the data frame.# 
Auto=read.table("https://raw.githubusercontent.com/karlho/knowledgemining/gh-pages/data/Auto.data",header=T,na.strings="?")
# fix(Auto)
Auto=read.csv("https://raw.githubusercontent.com/karlho/knowledgemining/gh-pages/data/Auto.csv",header=T,na.strings="?")
# fix(Auto)
dim(Auto)
[1] 397   9
Auto[1:4,]
  mpg cylinders displacement horsepower weight acceleration year origin
1  18         8          307        130   3504         12.0   70      1
2  15         8          350        165   3693         11.5   70      1
3  18         8          318        150   3436         11.0   70      1
4  16         8          304        150   3433         12.0   70      1
                       name
1 chevrolet chevelle malibu
2         buick skylark 320
3        plymouth satellite
4             amc rebel sst
Auto=na.omit(Auto)
dim(Auto)
[1] 392   9
names(Auto)
[1] "mpg"          "cylinders"    "displacement" "horsepower"   "weight"      
[6] "acceleration" "year"         "origin"       "name"        

Loading data from ISLR website

Auto=read.table("https://www.statlearning.com/s/Auto.data",header=T,na.strings="?")
dim(Auto)
[1] 397   9

Additional Graphical and Numerical Summaries

# plot(cylinders, mpg)
plot(Auto$cylinders, Auto$mpg)

attach(Auto)
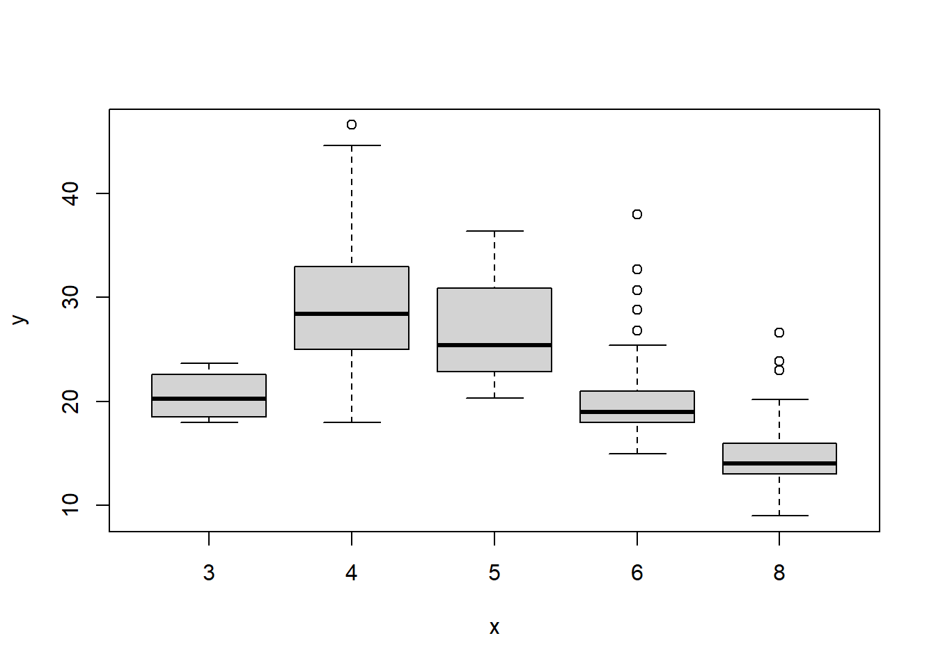
plot(cylinders, mpg)

cylinders=as.factor(cylinders)
plot(cylinders, mpg)

plot(cylinders, mpg, col="darkblue")

plot(cylinders, mpg, col="purple", varwidth=T)

plot(cylinders, mpg, col="pink", varwidth=T,horizontal=T)

plot(cylinders, mpg, col="lightblue", varwidth=T, xlab="cylinders", ylab="MPG")

hist(mpg)

hist(mpg,col=2)

hist(mpg,col=2,breaks=15)

#pairs(Auto)
pairs(~ mpg + displacement + horsepower + weight + acceleration, Auto)

plot(horsepower,mpg)

# identify(horsepower,mpg,name) # Interactive: point and click the dot to identify cases
summary(Auto)
      mpg          cylinders      displacement     horsepower        weight    
 Min.   : 9.00   Min.   :3.000   Min.   : 68.0   Min.   : 46.0   Min.   :1613  
 1st Qu.:17.50   1st Qu.:4.000   1st Qu.:104.0   1st Qu.: 75.0   1st Qu.:2223  
 Median :23.00   Median :4.000   Median :146.0   Median : 93.5   Median :2800  
 Mean   :23.52   Mean   :5.458   Mean   :193.5   Mean   :104.5   Mean   :2970  
 3rd Qu.:29.00   3rd Qu.:8.000   3rd Qu.:262.0   3rd Qu.:126.0   3rd Qu.:3609  
 Max.   :46.60   Max.   :8.000   Max.   :455.0   Max.   :230.0   Max.   :5140  
                                                 NA's   :5                     
  acceleration        year           origin          name          
 Min.   : 8.00   Min.   :70.00   Min.   :1.000   Length:397        
 1st Qu.:13.80   1st Qu.:73.00   1st Qu.:1.000   Class :character  
 Median :15.50   Median :76.00   Median :1.000   Mode  :character  
 Mean   :15.56   Mean   :75.99   Mean   :1.574                     
 3rd Qu.:17.10   3rd Qu.:79.00   3rd Qu.:2.000                     
 Max.   :24.80   Max.   :82.00   Max.   :3.000                     
                                                                   
summary(mpg)
   Min. 1st Qu.  Median    Mean 3rd Qu.    Max. 
   9.00   17.50   23.00   23.52   29.00   46.60 

Linear Regression

ptbu=c("MASS","ISLR")
lapply(ptbu, require, character.only = TRUE)
[[1]]
[1] TRUE

[[2]]
[1] TRUE
# Simple Linear Regression

# fix(Boston)
names(Boston)
 [1] "crim"    "zn"      "indus"   "chas"    "nox"     "rm"      "age"    
 [8] "dis"     "rad"     "tax"     "ptratio" "black"   "lstat"   "medv"   
# lm.fit=lm(medv~lstat)
attach(Boston)
lm.fit=lm(medv~lstat,data=Boston)
attach(Boston)
The following objects are masked from Boston (pos = 3):

    age, black, chas, crim, dis, indus, lstat, medv, nox, ptratio, rad,
    rm, tax, zn
lm.fit=lm(medv~lstat)
lm.fit

Call:
lm(formula = medv ~ lstat)

Coefficients:
(Intercept)        lstat  
      34.55        -0.95  
summary(lm.fit)

Call:
lm(formula = medv ~ lstat)

Residuals:
    Min      1Q  Median      3Q     Max 
-15.168  -3.990  -1.318   2.034  24.500 

Coefficients:
            Estimate Std. Error t value Pr(>|t|)    
(Intercept) 34.55384    0.56263   61.41   <2e-16 ***
lstat       -0.95005    0.03873  -24.53   <2e-16 ***
---
Signif. codes:  0 '***' 0.001 '**' 0.01 '*' 0.05 '.' 0.1 ' ' 1

Residual standard error: 6.216 on 504 degrees of freedom
Multiple R-squared:  0.5441,    Adjusted R-squared:  0.5432 
F-statistic: 601.6 on 1 and 504 DF,  p-value: < 2.2e-16
names(lm.fit)
 [1] "coefficients"  "residuals"     "effects"       "rank"         
 [5] "fitted.values" "assign"        "qr"            "df.residual"  
 [9] "xlevels"       "call"          "terms"         "model"        
coef(lm.fit)
(Intercept)       lstat 
 34.5538409  -0.9500494 
confint(lm.fit)
                2.5 %     97.5 %
(Intercept) 33.448457 35.6592247
lstat       -1.026148 -0.8739505
predict(lm.fit,data.frame(lstat=(c(5,10,15))), interval="confidence")
       fit      lwr      upr
1 29.80359 29.00741 30.59978
2 25.05335 24.47413 25.63256
3 20.30310 19.73159 20.87461
predict(lm.fit,data.frame(lstat=(c(5,10,15))), interval="prediction")
       fit       lwr      upr
1 29.80359 17.565675 42.04151
2 25.05335 12.827626 37.27907
3 20.30310  8.077742 32.52846
# What is the difference between "conference" and "prediction" difference?

plot(lstat,medv)
abline(lm.fit)
abline(lm.fit,lwd=3)
abline(lm.fit,lwd=3,col="darkred")

plot(lstat,medv,col="darkred")

plot(lstat,medv,pch=16)

plot(lstat,medv,pch="+")

plot(1:20,1:20,pch=1:20)

par(mfrow=c(2,2))
plot(lm.fit)

plot(predict(lm.fit), residuals(lm.fit))
plot(predict(lm.fit), rstudent(lm.fit))
plot(hatvalues(lm.fit))
which.max(hatvalues(lm.fit))
375 
375 

Multiple Linear Regression

lm.fit=lm(medv~lstat+age,data=Boston)
summary(lm.fit)

Call:
lm(formula = medv ~ lstat + age, data = Boston)

Residuals:
    Min      1Q  Median      3Q     Max 
-15.981  -3.978  -1.283   1.968  23.158 

Coefficients:
            Estimate Std. Error t value Pr(>|t|)    
(Intercept) 33.22276    0.73085  45.458  < 2e-16 ***
lstat       -1.03207    0.04819 -21.416  < 2e-16 ***
age          0.03454    0.01223   2.826  0.00491 ** 
---
Signif. codes:  0 '***' 0.001 '**' 0.01 '*' 0.05 '.' 0.1 ' ' 1

Residual standard error: 6.173 on 503 degrees of freedom
Multiple R-squared:  0.5513,    Adjusted R-squared:  0.5495 
F-statistic:   309 on 2 and 503 DF,  p-value: < 2.2e-16
lm.fit=lm(medv~.,data=Boston)
summary(lm.fit)

Call:
lm(formula = medv ~ ., data = Boston)

Residuals:
    Min      1Q  Median      3Q     Max 
-15.595  -2.730  -0.518   1.777  26.199 

Coefficients:
              Estimate Std. Error t value Pr(>|t|)    
(Intercept)  3.646e+01  5.103e+00   7.144 3.28e-12 ***
crim        -1.080e-01  3.286e-02  -3.287 0.001087 ** 
zn           4.642e-02  1.373e-02   3.382 0.000778 ***
indus        2.056e-02  6.150e-02   0.334 0.738288    
chas         2.687e+00  8.616e-01   3.118 0.001925 ** 
nox         -1.777e+01  3.820e+00  -4.651 4.25e-06 ***
rm           3.810e+00  4.179e-01   9.116  < 2e-16 ***
age          6.922e-04  1.321e-02   0.052 0.958229    
dis         -1.476e+00  1.995e-01  -7.398 6.01e-13 ***
rad          3.060e-01  6.635e-02   4.613 5.07e-06 ***
tax         -1.233e-02  3.760e-03  -3.280 0.001112 ** 
ptratio     -9.527e-01  1.308e-01  -7.283 1.31e-12 ***
black        9.312e-03  2.686e-03   3.467 0.000573 ***
lstat       -5.248e-01  5.072e-02 -10.347  < 2e-16 ***
---
Signif. codes:  0 '***' 0.001 '**' 0.01 '*' 0.05 '.' 0.1 ' ' 1

Residual standard error: 4.745 on 492 degrees of freedom
Multiple R-squared:  0.7406,    Adjusted R-squared:  0.7338 
F-statistic: 108.1 on 13 and 492 DF,  p-value: < 2.2e-16
vif(lm.fit)
    crim       zn    indus     chas      nox       rm      age      dis 
1.792192 2.298758 3.991596 1.073995 4.393720 1.933744 3.100826 3.955945 
     rad      tax  ptratio    black    lstat 
7.484496 9.008554 1.799084 1.348521 2.941491 
lm.fit1=lm(medv~.-age,data=Boston)
summary(lm.fit1)

Call:
lm(formula = medv ~ . - age, data = Boston)

Residuals:
     Min       1Q   Median       3Q      Max 
-15.6054  -2.7313  -0.5188   1.7601  26.2243 

Coefficients:
              Estimate Std. Error t value Pr(>|t|)    
(Intercept)  36.436927   5.080119   7.172 2.72e-12 ***
crim         -0.108006   0.032832  -3.290 0.001075 ** 
zn            0.046334   0.013613   3.404 0.000719 ***
indus         0.020562   0.061433   0.335 0.737989    
chas          2.689026   0.859598   3.128 0.001863 ** 
nox         -17.713540   3.679308  -4.814 1.97e-06 ***
rm            3.814394   0.408480   9.338  < 2e-16 ***
dis          -1.478612   0.190611  -7.757 5.03e-14 ***
rad           0.305786   0.066089   4.627 4.75e-06 ***
tax          -0.012329   0.003755  -3.283 0.001099 ** 
ptratio      -0.952211   0.130294  -7.308 1.10e-12 ***
black         0.009321   0.002678   3.481 0.000544 ***
lstat        -0.523852   0.047625 -10.999  < 2e-16 ***
---
Signif. codes:  0 '***' 0.001 '**' 0.01 '*' 0.05 '.' 0.1 ' ' 1

Residual standard error: 4.74 on 493 degrees of freedom
Multiple R-squared:  0.7406,    Adjusted R-squared:  0.7343 
F-statistic: 117.3 on 12 and 493 DF,  p-value: < 2.2e-16
lm.fit1=update(lm.fit, ~.-age)

Non-linear Transformations of the Predictors

lm.fit2=lm(medv~lstat+I(lstat^2))
summary(lm.fit2)

Call:
lm(formula = medv ~ lstat + I(lstat^2))

Residuals:
     Min       1Q   Median       3Q      Max 
-15.2834  -3.8313  -0.5295   2.3095  25.4148 

Coefficients:
             Estimate Std. Error t value Pr(>|t|)    
(Intercept) 42.862007   0.872084   49.15   <2e-16 ***
lstat       -2.332821   0.123803  -18.84   <2e-16 ***
I(lstat^2)   0.043547   0.003745   11.63   <2e-16 ***
---
Signif. codes:  0 '***' 0.001 '**' 0.01 '*' 0.05 '.' 0.1 ' ' 1

Residual standard error: 5.524 on 503 degrees of freedom
Multiple R-squared:  0.6407,    Adjusted R-squared:  0.6393 
F-statistic: 448.5 on 2 and 503 DF,  p-value: < 2.2e-16
lm.fit=lm(medv~lstat)
anova(lm.fit,lm.fit2)
Analysis of Variance Table

Model 1: medv ~ lstat
Model 2: medv ~ lstat + I(lstat^2)
  Res.Df   RSS Df Sum of Sq     F    Pr(>F)    
1    504 19472                                 
2    503 15347  1    4125.1 135.2 < 2.2e-16 ***
---
Signif. codes:  0 '***' 0.001 '**' 0.01 '*' 0.05 '.' 0.1 ' ' 1
par(mfrow=c(2,2))
plot(lm.fit2)

lm.fit5=lm(medv~poly(lstat,5))
summary(lm.fit5)

Call:
lm(formula = medv ~ poly(lstat, 5))

Residuals:
     Min       1Q   Median       3Q      Max 
-13.5433  -3.1039  -0.7052   2.0844  27.1153 

Coefficients:
                 Estimate Std. Error t value Pr(>|t|)    
(Intercept)       22.5328     0.2318  97.197  < 2e-16 ***
poly(lstat, 5)1 -152.4595     5.2148 -29.236  < 2e-16 ***
poly(lstat, 5)2   64.2272     5.2148  12.316  < 2e-16 ***
poly(lstat, 5)3  -27.0511     5.2148  -5.187 3.10e-07 ***
poly(lstat, 5)4   25.4517     5.2148   4.881 1.42e-06 ***
poly(lstat, 5)5  -19.2524     5.2148  -3.692 0.000247 ***
---
Signif. codes:  0 '***' 0.001 '**' 0.01 '*' 0.05 '.' 0.1 ' ' 1

Residual standard error: 5.215 on 500 degrees of freedom
Multiple R-squared:  0.6817,    Adjusted R-squared:  0.6785 
F-statistic: 214.2 on 5 and 500 DF,  p-value: < 2.2e-16
summary(lm(medv~log(rm),data=Boston))

Call:
lm(formula = medv ~ log(rm), data = Boston)

Residuals:
    Min      1Q  Median      3Q     Max 
-19.487  -2.875  -0.104   2.837  39.816 

Coefficients:
            Estimate Std. Error t value Pr(>|t|)    
(Intercept)  -76.488      5.028  -15.21   <2e-16 ***
log(rm)       54.055      2.739   19.73   <2e-16 ***
---
Signif. codes:  0 '***' 0.001 '**' 0.01 '*' 0.05 '.' 0.1 ' ' 1

Residual standard error: 6.915 on 504 degrees of freedom
Multiple R-squared:  0.4358,    Adjusted R-squared:  0.4347 
F-statistic: 389.3 on 1 and 504 DF,  p-value: < 2.2e-16

Qualitative Predictors

# fix(Carseats)
names(Carseats)
 [1] "Sales"       "CompPrice"   "Income"      "Advertising" "Population" 
 [6] "Price"       "ShelveLoc"   "Age"         "Education"   "Urban"      
[11] "US"         
lm.fit=lm(Sales~.+Income:Advertising+Price:Age,data=Carseats)
summary(lm.fit)

Call:
lm(formula = Sales ~ . + Income:Advertising + Price:Age, data = Carseats)

Residuals:
    Min      1Q  Median      3Q     Max 
-2.9208 -0.7503  0.0177  0.6754  3.3413 

Coefficients:
                     Estimate Std. Error t value Pr(>|t|)    
(Intercept)         6.5755654  1.0087470   6.519 2.22e-10 ***
CompPrice           0.0929371  0.0041183  22.567  < 2e-16 ***
Income              0.0108940  0.0026044   4.183 3.57e-05 ***
Advertising         0.0702462  0.0226091   3.107 0.002030 ** 
Population          0.0001592  0.0003679   0.433 0.665330    
Price              -0.1008064  0.0074399 -13.549  < 2e-16 ***
ShelveLocGood       4.8486762  0.1528378  31.724  < 2e-16 ***
ShelveLocMedium     1.9532620  0.1257682  15.531  < 2e-16 ***
Age                -0.0579466  0.0159506  -3.633 0.000318 ***
Education          -0.0208525  0.0196131  -1.063 0.288361    
UrbanYes            0.1401597  0.1124019   1.247 0.213171    
USYes              -0.1575571  0.1489234  -1.058 0.290729    
Income:Advertising  0.0007510  0.0002784   2.698 0.007290 ** 
Price:Age           0.0001068  0.0001333   0.801 0.423812    
---
Signif. codes:  0 '***' 0.001 '**' 0.01 '*' 0.05 '.' 0.1 ' ' 1

Residual standard error: 1.011 on 386 degrees of freedom
Multiple R-squared:  0.8761,    Adjusted R-squared:  0.8719 
F-statistic:   210 on 13 and 386 DF,  p-value: < 2.2e-16
attach(Carseats)
contrasts(ShelveLoc)
       Good Medium
Bad       0      0
Good      1      0
Medium    0      1

Interaction Terms (interactions and single effects

summary(lm(medv~lstat*age,data=Boston))

Call:
lm(formula = medv ~ lstat * age, data = Boston)

Residuals:
    Min      1Q  Median      3Q     Max 
-15.806  -4.045  -1.333   2.085  27.552 

Coefficients:
              Estimate Std. Error t value Pr(>|t|)    
(Intercept) 36.0885359  1.4698355  24.553  < 2e-16 ***
lstat       -1.3921168  0.1674555  -8.313 8.78e-16 ***
age         -0.0007209  0.0198792  -0.036   0.9711    
lstat:age    0.0041560  0.0018518   2.244   0.0252 *  
---
Signif. codes:  0 '***' 0.001 '**' 0.01 '*' 0.05 '.' 0.1 ' ' 1

Residual standard error: 6.149 on 502 degrees of freedom
Multiple R-squared:  0.5557,    Adjusted R-squared:  0.5531 
F-statistic: 209.3 on 3 and 502 DF,  p-value: < 2.2e-16

----------

Assignment 2

TEDS_2016 <- read_dta('https://github.com/datageneration/home/blob/master/DataProgramming/data/TEDS_2016.dta?raw=true') #Note read_stata does not work with this version of R. Need to utilize haven library and "read_data" with apostrophe and not quotation marks around link. 

Question: What problems do I encounter with dataset?

Answer: There are a significant number of missing values in the form of NA in the dataset. It is also unclear if the “0” values are true 0 or if they are a different way of indicating a missing value.

Question: How to deal with missing values?

Answer: There are several methods to address missing data in a dataset.

  1. Listwise deletion: Removing the entire row of data to not include in the analysis if there are any missing values in that row. We could first detect missingness through a visualization to understand the impact listwise deletion could have on our data. If the missing values are not random and if they reduce our sample size substantially, this is likely to impact the strength of findings and using the dataset.

  2. Best guess imputation.

  3. Multiple imputation.

  4. Aggregate: If there is structure to the data, then we can aggregate so missing values do not have such an impact. For example, we could move from monthly to yearly.

Explore Relationship between Tondu and other variables

lm.fit=lm(Tondu~female+DPP+age+income+edu+Taiwanese+Econ_worse, data=TEDS_2016)
summary(lm.fit)

Call:
lm(formula = Tondu ~ female + DPP + age + income + edu + Taiwanese + 
    Econ_worse, data = TEDS_2016)

Residuals:
    Min      1Q  Median      3Q     Max 
-4.0523 -1.1411 -0.2287  0.7986  6.1354 

Coefficients:
             Estimate Std. Error t value Pr(>|t|)    
(Intercept)  4.204138   0.274188  15.333  < 2e-16 ***
female       0.368598   0.082680   4.458 8.82e-06 ***
DPP          0.121223   0.091598   1.323    0.186    
age          0.001668   0.003143   0.531    0.596    
income      -0.025558   0.015862  -1.611    0.107    
edu         -0.181096   0.036824  -4.918 9.61e-07 ***
Taiwanese    0.768943   0.091437   8.410  < 2e-16 ***
Econ_worse  -0.248545   0.083640  -2.972    0.003 ** 
---
Signif. codes:  0 '***' 0.001 '**' 0.01 '*' 0.05 '.' 0.1 ' ' 1

Residual standard error: 1.667 on 1672 degrees of freedom
  (10 observations deleted due to missingness)
Multiple R-squared:  0.1074,    Adjusted R-squared:  0.1036 
F-statistic: 28.73 on 7 and 1672 DF,  p-value: < 2.2e-16
plot(lm.fit)

Frequency Table

TEDS_2016$Tondu<-as.numeric(TEDS_2016$Tondu,labels=c("Unification now", "Status quo, unif. in future", "Status quo, decide later", "Status quo forever", "Status quo, indep. in future", "Independence now", "No response")) 
tab1(TEDS_2016$Tondu, sort.group = "decreasing", cum.percent = TRUE)

TEDS_2016$Tondu : 
        Frequency Percent Cum. percent
3             546    32.3         32.3
5             380    22.5         54.8
4             328    19.4         74.2
2             180    10.7         84.9
9             121     7.2         92.0
6             108     6.4         98.4
1              27     1.6        100.0
  Total      1690   100.0        100.0